GRE数学竟然还考“均值不等式”?
2023-08-18 09:51:46
1 喜欢 | 1367 阅读

在8月刚刚过去的GRE考试Quant自适应Hard Section中,出现了这样一道高频数学机经难题~

是的,你没看错,GRE数学竟然也考“均值不等式”这个考点!今天,就带领大家在上考场前,一次性弄清楚这类题背后的解题技巧~首先,让我们迅速回顾一下本题相关的公式与注意事项——顺便,也为大家展示一下GRE数学考查的所有4个常用基础不等式,建立起完整的知识体系!

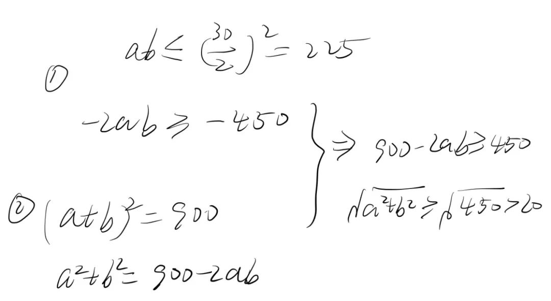
提前知道相关公式后,特别是考查角度三:均值不等式(正向),让我们再回到上面那题,重新挑战来做——

掌握了这一解题技巧之后,你可能已经迫不及待,想要继续练习更多同考点题,训练自己的举一反三能力。为此,我从GRE数学5000+机经题库当中,为大家精心挑选了以下同考点核心母题,帮大家进一步举一反三,巩固对“均值不等式”这种考法的理解。A certain rectangle has perimeter 60. Quantity A: The length of a diagonal of the rectangleA. Quantity A is greater. B. Quantity B is greater. C. The two quantities are equal. D. The relationship cannot be determined from the information given.



【相关考点】3.5.2 均值不等式 & 3.5.1不等式的运算 & 3.7.8圆的解析方程 & 3.7.6 直线与点关系的判断